跳至内容
ukmt英国数学竞赛官网

ukmt英国数学竞赛官网

United Kingdom Mathematics Trust, UKMT

  • 首页
  • 2025-2026报名通道
  • 全竞赛真题及解析
    • JMC竞赛历年真题
    • IMC竞赛历年真题
    • SMC竞赛历年真题
    • JMO竞赛历年真题
    • UKMT-MOG历年真题
    • UKMT其他赛事真题&答案
  • 赛事介绍
    • JMC数学竞赛
    • JMO数学竞赛
    • IMC数学竞赛
    • SMC数学竞赛
    • BMO数学竞赛
  • 竞赛规则
  • 历年分数线
  • 赛事动态
  • 常见问题
  • 辅导课程
  • 关于UKMT

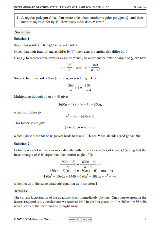
2022年IMOK Hamilton汉密斯顿竞赛真题解析在线看!快来学习解题思路!

发布于 2026年2月28日作者 ml

文章导航

上一篇 上篇文章: 2022年IMOK Hamilton汉密斯顿竞赛真题在线看!看看能得多少分?
下一篇 下篇文章: 2021年IMOK Hamilton汉密斯顿竞赛真题在线看!看看能得多少分?
沪ICP备2023003166号-26